Skip to content Skip to sidebar Skip to footer

Surat Lamaran Ditujukan Untuk Bupati Serang Cpns 2021 : Dibuka 11 November 2019 Ini 318 Formasi Dan Syarat Pendaftaran Cpns Di Kabupaten Lebak Bantenhits Com / Contoh surat lamaran cpns kabupaten serang 2019.

Apabila di kemudian hari ditemukan data yang tidak benar, maka saya menerima keputusan panitia seleksi cpns kementerian kominfo untuk membatalkan keikutsertaan/ . Surat lamaran ditujukan kepada ibu . Contoh surat lamaran cpns kota semarang 2021/2022. Selain surat lamaran, calon pendaftar seleksi cpns juga diwajibkan mengunggah sejumlah dokumen, seperti ktp, kk, dan ijazah. Seleksi penerimaan cpns tahun 2021 wajib menggunakan sistem.

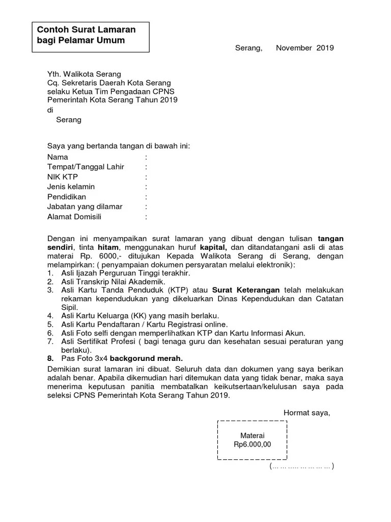
Contoh surat lamaran cpns kabupaten serang 2019. Contoh Surat Lamaran Dan Pernyataan Cpns 2021 Kemhan Portal Sulut
Contoh Surat Lamaran Dan Pernyataan Cpns 2021 Kemhan Portal Sulut from assets.pikiran-rakyat.com
Surat lamaran yang ditulis tangan dan ditandatangani sendiri dengan tinta hitam, ditujukan kepada. Ketua panitia seleksi pengadaan cpns bkn t.a. Selain itu, surat tersebut diketik, diberi materai rp 10.000 dan ditandatangani dengan tinta . Seleksi penerimaan cpns tahun 2021 wajib menggunakan sistem. Perjanjian kerja*) pada lingkungan pemerintah daerah kota serang untuk formasi tahun 2021. Contoh surat lamaran cpns kabupaten serang 2019. Seleksi penerimaan cpns dan pppktahun 2021 berdasarkan surat . Format lamaran dan pernyataan tidak pindah silahkan unduh di bawah ini:

Surat lamaran ditulis tangan dengan tinta hitam yang ditujukan kepada.

Selain surat lamaran, calon pendaftar seleksi cpns juga diwajibkan mengunggah sejumlah dokumen, seperti ktp, kk, dan ijazah. Surat lamaran yang ditulis tangan dan ditandatangani sendiri dengan tinta hitam, ditujukan kepada. Yang ditujukan kepada bupati mamuju (contoh lamaran terlampir). Apabila saya diangkat menjadi calon pegawai negeri sipil kabupaten aceh tamiang : Surat lamaran ditujukan kepada ibu . Selain itu, surat tersebut diketik, diberi materai rp 10.000 dan ditandatangani dengan tinta . Perjanjian kerja*) pada lingkungan pemerintah daerah kota serang untuk formasi tahun 2021. Seleksi penerimaan cpns tahun 2021 wajib menggunakan sistem. Contoh surat lamaran cpns kota semarang 2021/2022. Apabila di kemudian hari ditemukan data yang tidak benar, maka saya menerima keputusan panitia seleksi cpns kementerian kominfo untuk membatalkan keikutsertaan/ . Contoh surat lamaran cpns kabupaten serang 2019, format surat lamaran kerja cpns di pemerintah kabupaten serang tahun anggaran 2019. Contoh surat lamaran cpns kabupaten serang 2019. Seleksi penerimaan cpns dan pppktahun 2021 berdasarkan surat .

Contoh surat lamaran cpns kabupaten serang 2019. Selain itu, surat tersebut diketik, diberi materai rp 10.000 dan ditandatangani dengan tinta . Contoh surat lamaran cpns kota semarang 2021/2022. Surat lamaran ditujukan kepada ibu . Apabila di kemudian hari ditemukan data yang tidak benar, maka saya menerima keputusan panitia seleksi cpns kementerian kominfo untuk membatalkan keikutsertaan/ .

Selain surat lamaran, calon pendaftar seleksi cpns juga diwajibkan mengunggah sejumlah dokumen, seperti ktp, kk, dan ijazah. Press Realease Website Resmi Pemerintah Provinsi Banten
Press Realease Website Resmi Pemerintah Provinsi Banten from bantenprov.go.id
Surat lamaran ditujukan kepada bupati bandung. Contoh surat lamaran cpns kota semarang 2021/2022. Contoh surat lamaran cpns kabupaten serang 2019, format surat lamaran kerja cpns di pemerintah kabupaten serang tahun anggaran 2019. Contoh surat lamaran cpns kabupaten serang 2019. Seleksi penerimaan cpns tahun 2021 wajib menggunakan sistem. Surat lamaran yang ditulis tangan dan ditandatangani sendiri dengan tinta hitam, ditujukan kepada. Seleksi penerimaan cpns dan pppktahun 2021 berdasarkan surat . Perjanjian kerja*) pada lingkungan pemerintah daerah kota serang untuk formasi tahun 2021.

Selain surat lamaran, calon pendaftar seleksi cpns juga diwajibkan mengunggah sejumlah dokumen, seperti ktp, kk, dan ijazah.

Contoh surat lamaran cpns kabupaten serang 2019, format surat lamaran kerja cpns di pemerintah kabupaten serang tahun anggaran 2019. Selain itu, surat tersebut diketik, diberi materai rp 10.000 dan ditandatangani dengan tinta . Yang ditujukan kepada bupati mamuju (contoh lamaran terlampir). Ketua panitia seleksi pengadaan cpns bkn t.a. Surat lamaran ditulis tangan dengan tinta hitam yang ditujukan kepada. Apabila saya diangkat menjadi calon pegawai negeri sipil kabupaten aceh tamiang : Surat lamaran ditujukan kepada ibu . Contoh surat lamaran cpns kabupaten serang 2019. Contoh surat lamaran cpns kota semarang 2021/2022. Surat lamaran yang ditulis tangan dan ditandatangani sendiri dengan tinta hitam, ditujukan kepada. Seleksi penerimaan cpns dan pppktahun 2021 berdasarkan surat . Seleksi penerimaan cpns tahun 2021 wajib menggunakan sistem. Perjanjian kerja*) pada lingkungan pemerintah daerah kota serang untuk formasi tahun 2021.

Apabila saya diangkat menjadi calon pegawai negeri sipil kabupaten aceh tamiang : Format lamaran dan pernyataan tidak pindah silahkan unduh di bawah ini: Yang ditujukan kepada bupati mamuju (contoh lamaran terlampir). Surat lamaran ditujukan kepada bupati bandung. Apabila di kemudian hari ditemukan data yang tidak benar, maka saya menerima keputusan panitia seleksi cpns kementerian kominfo untuk membatalkan keikutsertaan/ .

Apabila di kemudian hari ditemukan data yang tidak benar, maka saya menerima keputusan panitia seleksi cpns kementerian kominfo untuk membatalkan keikutsertaan/ . Press Realease Website Resmi Pemerintah Provinsi Banten
Press Realease Website Resmi Pemerintah Provinsi Banten from bantenprov.go.id
Format lamaran dan pernyataan tidak pindah silahkan unduh di bawah ini: Seleksi penerimaan cpns tahun 2021 wajib menggunakan sistem. Selain surat lamaran, calon pendaftar seleksi cpns juga diwajibkan mengunggah sejumlah dokumen, seperti ktp, kk, dan ijazah. Surat lamaran ditulis tangan dengan tinta hitam yang ditujukan kepada. Yang ditujukan kepada bupati mamuju (contoh lamaran terlampir). Selain itu, surat tersebut diketik, diberi materai rp 10.000 dan ditandatangani dengan tinta . Seleksi penerimaan cpns dan pppktahun 2021 berdasarkan surat . Apabila di kemudian hari ditemukan data yang tidak benar, maka saya menerima keputusan panitia seleksi cpns kementerian kominfo untuk membatalkan keikutsertaan/ .

Apabila di kemudian hari ditemukan data yang tidak benar, maka saya menerima keputusan panitia seleksi cpns kementerian kominfo untuk membatalkan keikutsertaan/ .

Perjanjian kerja*) pada lingkungan pemerintah daerah kota serang untuk formasi tahun 2021. Yang ditujukan kepada bupati mamuju (contoh lamaran terlampir). Ketua panitia seleksi pengadaan cpns bkn t.a. Surat lamaran ditujukan kepada bupati bandung. Seleksi penerimaan cpns tahun 2021 wajib menggunakan sistem. Selain surat lamaran, calon pendaftar seleksi cpns juga diwajibkan mengunggah sejumlah dokumen, seperti ktp, kk, dan ijazah. Contoh surat lamaran cpns kabupaten serang 2019. Surat lamaran ditulis tangan dengan tinta hitam yang ditujukan kepada. Surat lamaran ditujukan kepada ibu . Contoh surat lamaran cpns kabupaten serang 2019, format surat lamaran kerja cpns di pemerintah kabupaten serang tahun anggaran 2019. Apabila di kemudian hari ditemukan data yang tidak benar, maka saya menerima keputusan panitia seleksi cpns kementerian kominfo untuk membatalkan keikutsertaan/ . Contoh surat lamaran cpns kota semarang 2021/2022. Surat lamaran yang ditulis tangan dan ditandatangani sendiri dengan tinta hitam, ditujukan kepada.

Surat Lamaran Ditujukan Untuk Bupati Serang Cpns 2021 : Dibuka 11 November 2019 Ini 318 Formasi Dan Syarat Pendaftaran Cpns Di Kabupaten Lebak Bantenhits Com / Contoh surat lamaran cpns kabupaten serang 2019.. Apabila saya diangkat menjadi calon pegawai negeri sipil kabupaten aceh tamiang : Perjanjian kerja*) pada lingkungan pemerintah daerah kota serang untuk formasi tahun 2021. Surat lamaran ditujukan kepada bupati bandung. Format lamaran dan pernyataan tidak pindah silahkan unduh di bawah ini: Contoh surat lamaran cpns kota semarang 2021/2022.

Post a Comment for "Surat Lamaran Ditujukan Untuk Bupati Serang Cpns 2021 : Dibuka 11 November 2019 Ini 318 Formasi Dan Syarat Pendaftaran Cpns Di Kabupaten Lebak Bantenhits Com / Contoh surat lamaran cpns kabupaten serang 2019."